ным UЛ =UФ , а линейные токи определяют по первому закону Кирхгофа:
Фазные токи рассчитывают по за закону Ома:
Топографическая диаграмма фазных и линейных напряжений представляет со-
бой замкнутый треугольник. Векторную диаграмму токов совмещают с топо-
графической диаграммой напряжений.
При симметричной нагрузке токи во всех фазах одинаковы и связаны с линейными токами по формуле:
3) Работа и мощность электрического тока. Энергетический баланс в электрических цепях. В электротехнике существует понятие мощности источника и мощности потребителя. Мощность источника – это скорость, с которой неэлектрическая энергия в источнике преобразуется в электрическую Рист. = А/t = ЕIt/t = EI
Мощность потребителя (приемника) – это скорость, с которой в приемнике
электрическая энергия перебегает в неэлектрическую.
Рпот.= А/t = U I t/t =U I = I 2 R В хоть какой электрической цепи должен соблюдаться энергетический баланс – алгебраическая сумма мощностей всех источников должна быть равна арифметической сумме мощностей всех потребителей энергии: Это равенство именуют балансом мощности электрической цепи:
Если направление ЭДС источника совпадает с направлением тока, то он работает в режиме генератора, т.е. поставляет электрическую энергию в цепь. Его ЭДС имеет символ плюс. Если направление ЭДС обратно направлению тока, то он работает в режиме потребителя, т.е. потребляет электрическую энергию. Его ЭДС имеет символ минус. В
уравнении баланса мощности необходимо учесть символ ЭДС источника.
2) Режимы работы источников питания. Различают четыре режима работы источников питания.
Режим холостого хода.хх.В режиме холостого хода выводы источника разомкнуты: (Rх= ∞). Этот режим применяют для измерения ЭДС источника. Характеристики
режима холостого хода:
Iхх = 0; Rхх = ∞; Uхх = E ; (Uхх =E-Ir; r = 0; Uхх = E )
Режим недлинного замыкания. К.з. В режиме недлинного замыкания выводы источника замкнуты сами на себя: ( Rк.з= 0). ;
Номинальный режим. Это режим работы источника питания при номинальных значениях тока и напряжения. Номинальные значения тока и напряжения
приводятся в паспорте источника питания.
Согласованный режим. Это режим работы источника питания с наибольшей мощностью Р=Р mах. При условии R0=R Формула мощности для согласованного режима: Pmax= I 2 R = E 2 / 4R.
9) Разглядим цепь с последовательно соединенными активным сопротивлением — R , индуктивностью –L и емко-
стью – С. Для векторов действующих напряжений .
запишем 2-ой закон Кирхгофа:
Складывая эти вектора графически и, беря во внимание, что вектор напряжения на
ŪR совпадает по фазе с вектором тока, вектор на-
пряжения на индуктивности — ŪL опережает ток на угол π/2, а вектор напряжения на емкости — ŪC отстает от вектора тока на угол π/2, получим прямоугольный треугольник напряжений, гипотенуза которого равна полному напряжению — U , а катеты равны активному напряжению — ŪR и реактивному
Из треугольника напряжений видно, что:
U = Если поделить все стороны прямоугольного треугольника напряжений на общий ток I , то получим схожий ему треугольник сопротивлений, гипотенуза
которого равна полному сопротивлению цепи — Z , а катеты — активному и ре-
активному сопротивлению цепи — R и ( XL — XC) :
Из этого треугольника можно отыскать полное сопротивление цепи
и записать закон Ома для цепи переменного синусоидального тока:
1)Эквивалентные преобразования электрических цепей.
Последовательное соединение частей. При последовательном соединении
частей через все элементы протекает один и тот же ток; напряжение на
входе цепи равно сумме напряжений на элементах. Последовательное соединение частей можно поменять одним эквивалентным сопротивлением.
Напряжение на сопротивлениях распределяется прямо пропорционально этим
Параллельное соединение. При параллельном соединении все участки цепи соединяются к одной паре узлов и находятся под воздействием 1-го и того
же напряжения. Ток на входе цепи равен сумме токов на параллельных участках цепи. Параллельное соединение частей можно поменять одним эквивалентным
При параллельном соединении частей токи в них распределяются назад
пропорционально их сопротивлениям:
Смешанное соединение. Это сочетание последовательного и параллельного
Эквивалентное сопротивление для последовательно-параллельного соединения
Сложное соединение. Это соединение, имеющее три и поболее узлов. В сложных цепях встречаются соединения сопротивлений в виде звезды и треугольника.
Формулы преобразования треугольника сопротивлений в эквивалентную трех-
лучевую звезду имеют вид:
Формулы оборотного преобразования веток трехлучевой звезды в эквивалент-
Главные идеи славянофильства: Славянофилы в собственной трактовке российской истории исходили из православия как начала.
Примеры решений задач по астрономии: Фокусное расстояние объектива телескопа составляет 900 мм, а фокусное .
Идеал единицы силы электрического тока: Идеал – это средство измерения, обеспечивающее проигрывание и хранение.
Отчет по производственной практике по экономической безопасности: К главным многофункциональным целям на предприятии ООО «ХХХХ» относятся.
Определение условной трехфазной мощности, создаваемой в трехфазной сети однофазовыми ЭП
23 октября 2014 k-igor
Сейчас очень принципиальная тема для проектировщиков, в какой я представлю свою освеженную программку. При расчете электрических нагрузок приходится приводить мощность однофазовых ЭП к условной трехфазной мощности согласно РТМ 36.18.32.4-92.
Если вы не знакомы с моей программкой для расчета электрических нагрузок, то сначала советую ознакомиться с тем, что было ранее.
В предшествующей версии программы условную трехфазную мощность нужно было считать на калькуляторе и держать в голове все условия приведения мощности однофазовых ЭП к условной трехфазной мощности.
Как я уже упоминал, на данный момент я занимаюсь переработкой собственных программ и решил расширить функционал программы по расчету электрических нагрузок.
По сопоставлению со старенькой программкой, тут я изменил цветовое оформление, добавил расчет тока для движков и разработанную мной форму расчета условной трехфазной мощности, создаваемой в трехфазной сети однофазовыми электроприемниками.
Последовательность расчета идеальнее всего разглядеть на примере.
Допустим, нам нужна посчитать расчетную мощность, потребляемый ток, коэффициент мощности электрического щита, к которому подключены следующие трехфазные и однофазовые ЭП:
Наименование ЭП
3Р/1Р
Количество, шт.
Р, кВт
Ки
cosϕ
Как найти условную трехфазную мощность, создаваемую в трехфазной сети однофазовыми ЭП?
В РТМ 36.18.32.4-92 по этому поводу сказано только следующее:
3.2.1.7. При наличии группы однофазовых ЭП, которые распределены по фазам с неравномерностью не выше 15% по отношению к общей мощности трехфазных и однофазовых ЭП в группе, они могут быть представлены в расчете как эквивалентная группа трехфазных ЭП с той же суммарной номинальной мощностью.
В случае превышения обозначенной неравномерности номинальная мощность эквивалентной группы трехфазных ЭП принимается равной тройному значению мощности более загруженной фазы.
Остальное приходится додумывать самому, т.к. точных указаний по расчету не приводится. Как быть, когда различные коэффициенты применения и коэффициенты мощности, мощности ЭП отличаются существенно друг от друга?
После всех раздумий и общения со своими сотрудниками, я сделал вывод, что однофазовые ЭП следует приводить к трехфазной мощности с учетом действенного числа ЭП и в итоге мы должны получить эквивалент не 1-го, а N-го количества трехфазных ЭП, которые соответствуют мощности однофазовых электроприемников нашего щита.
Внешний облик освеженной программы:
Расчет вводного устройства.

Расчет вводного устройства
Расчет распределительного щита.

Расчет распределительного щита.
Определение условной трехфазной мощности, создаваемой в трехфазной сети однофазовыми ЭП.

Определение условной трехфазной мощности, создаваемой в трехфазной сети однофазовыми ЭП.
Порядок расчета электрических нагрузок, в том числе и определение условной трехфазной мощности я расскажу в собственном следующем видеоклипе.
Жду ваших замечаний и предложений.
P.S. Я этой программкой пользуюсь и при расчете административных построек.
Условия получения программы смотрите на страничке МОИ ПРОГРАММЫ.
Советую почитать:
Расчет цены проектных работ
Программы для проектирования квартир и личных домов
Программка для расчета фундамента молниезащиты
Сколько стоит проект электроснабжения квартиры, личного дома?
Рубрика: Про расчет Метки: 1Р — 3Р
комментариев 6 “Определение условной трехфазной мощности, создаваемой в трехфазной сети однофазовыми ЭП”
Спасибо, Игорь, за Вашу работу. Программка вправду существенно доработана, за что выражаю Для вас свою благодарность и перевожу на Ваш мобильный 30 тыс. бел.руб.
Но у меня есть некоторые предложения по ее доработке.
1. Из Вашего видео сообразил следующее: однофазовые ЭП записываем в отдельную таблицу, распределяя их по различным фазам, дабы достигнуть малой неравномерности, потом приобретенные значения эквивалентной мощности и коэффициентов применения Ки и мощности cos из определенных ячеек таблицы с однофазовыми ЭП записываем в отдельную строчку таблицы с трехфазными ЭП.
Почему бы в таблице с трехфазными ЭП не выделить, например, последней строчку, в которую автоматом будут занесены все данные с количеством, эквивалентной трехфазной мощностью и коэффициентами Ки и cos группы однофазовых ЭП ?
Соответственно, эту строчку выделить цветом как не заполняемую и заблокировать от редактирования.
2. Так как при заполнении таблицы для ВРУ данные о присоединенных щитах берутся/списываются из определенных ячеек таблицы каждого силового/распределительного щита, предлагаю:
В 1-ые строчки ВРУ (кол-во таких строк должно быть равно количеству силовых и распределительных щитов) вписать/воткнуть ссылки на конечные строчки из таблицы каждого щита со значениями: наименования щита, его установленной мощности, коэффициентов применения Ки и мощности cos.
При всем этом таблица ВРУ будет заполняться автоматом при заполнении таблицы каждого отдельного щита (наименование щита, его установленная мощность, средневзвешенный Ки и cos), остается только по таблице 2 по значениям nэ и Ки подобрать коэффициент расчетной нагрузки.
Соответственно, строчки таблицы ВРУ (по кол-ву щитов) выделить цветом как не заполняемые и заблокировать от редактирования, оставив при всем этом дополнительные 3-5 строчки для записи трехфазных ЭП и одну строчку для записи эквивалентной нагрузки группы однофазовых ЭП, присоединенных конкретно к ВРУ (см. предложение 1).
3. В дополнение к предложению 2: в надлежащие графы (N и Q) таблицы ВРУ дать ссылки на ячейки граф (N и Q) из таблиц соответственных щитов, в каких хранятся значения расчетных активной мощности и тока.
Данные о значении расчетной мощности и тока по каждому щиту просто будут дублироваться в таблице ВРУ, так как: во-1-х, не комфортно всякий раз пролистывать длинноватую таблицу excel из 10 щитов, дабы поглядеть нагрузки определенного щита; во-2-х, для последующего применения таблицы ВРУ со значениями мощностей и токов присоединенных к нему щитов в файле AutoCAD.
Дмитрий спасибо для вас за предложения и замечания, почти во всем блогодаря для вас я отыскал время, дабы ее доработать. Про блогодарность можно было не писать, а то на данный момент все поразмыслят, что я здесь некий лохотрон устраиваю, по последней мере я так думаю, когда вижу подобные сообщения на других веб-сайтах)))
По сути, Дмитрий, я ожидал, что кто-то предложит записывать автоматом те значения, о которых вы писали. Я считал, что не очень прекрасно будет смотреться последняя строчка в таблице. мне хотелось, дабы все было прекрасно)) Но, вправду, это комфортно. На данный момент условная трехфазная мощность заносится автоматом.
Нагрузку по силовым щитам я не стал автоматом записывать в ВРУ по одной только причине: к примеру, ЩС2 подключен от ЩС1. В таком случае программка не верно посчитает нагрузки.
А про благодарность я написал сознательно, дабы побудить других читателей форума к некоторым действиям (выражению благодарности). Каждый читатель (подписчик) Вашего блока должен осознавать, что написание хоть какой статьи просит больших издержек времени, а содержание веб-сайта — средств. Работать лишь на энтузиазме можно, но не длительно, по последней мере с высочайшей самоотдачей. Потому написав про вещественную благодарность, я возлагал надежды, что это побудить других последовать моему примеру и как то поддержать создателя блога.
Дмитрий, спасибо для вас снова за осознание.
Пишите еще свои замечания и предложения. Неважно какая, даже самая бредовая мысль может стать превосходной! Совместно с вами создадим конкретно то, что нужно проектировщику без всякой воды, дабы это было комфортно, удобно и самое главное верно.
Игорь, хороший денек. Пользуюсь вашей программкой, только предшествующей версией. Вот решил затестить вашу освеженную версию. да скачать как-то не выходит. Может я чего не сообразил. На вкладке мои программы нажимаю, а она не грузит, а раскрывается снова ссылка на описание программы. Подскажите, будьте добры. Либо если можно в письме сбросьте, буду очень признателен. Огромное дело делаете.
Сейчас качать программы не надо, все свои новые разработки и освеженные версии высылаю на почту. Условия получения, смотрите на страничке МОИ ПРОГРАММЫ.
Мощность трехфазной цепи
Любая фаза нагрузки представляет собой отдельный элемент электрической цепи, в каком происходит преобразование энергии либо её обмен с источником питания. Потому активная и реактивная мощности трёхфазной цепи равны суммам мощностей отдельных фаз:
— для соединения звездой;
— для соединения треугольником.
Активная и реактивная мощности каждой фазы определяются так же, как в однофазовой цепи:

Полная мощность трёхфазной цепи равна:
причём
Полную мощность можно представить также в всеохватывающей форме. К примеру, для соединения нагрузки звездой:

Мощность при симметричной нагрузке
При симметричной нагрузке мощности всех фаз одинаковы, потому её можно найти, умножив на три выражения (3.14):
Фазные токи и напряжения в (3.15) можно выразить через линейные с учётом того, что при симметричной нагрузке и соединении её звездой , а при соединении треугольником . Подставляя эти соотношения в (3.15), мы получим для обеих схем соединения однообразные выражения для мощности:

Трёхфазные цепи
Трёхфазные цепи являются главным видом электрических цепей, применяемых при производстве, передаче и рассредотачивании электроэнергии. Они представляют собой личный случай симметричной многофазной цепи. Другими словами набор электрических цепей с одинаковой амплитудой и частотой, а источники с синусоидальными ЭДС смещены по фазе друг от друга на один и тот же угол. Другие многофазные схемы также применяются в этой технике. Шестифазные и двенадцатифазные выпрямительные установки с двухфазной автоматизацией, но трехфазные энерго системы являются более распространенными. Это связано с тем, что трёхфазная система является мало вероятной симметричной системой , обеспечивающей:
• экономически действенное создание, передачу и рассредотачивание электроэнергии;
• действенное преобразование электроэнергии в механическую средством машин с вращающимся магнитным полем;
• возможность применения потребителем 2-ух разных напряжений питания без дополнительных преобразований.
Может быть для вас будут полезны данные странички:
Получение трёхфазной системы ЭДС

Для сотворения трёхфазной электрической цепи требуются три источника ЭДС с одинаковыми амплитудами и частотами и смещенными по фазе на 120°. Самым обычным техническим устройством, которое накрепко отвечает этим требованиям, является синхронный генератор. На рисунке 1 показана многофункциональная схема. 3.1. Ротор генератора (крутящаяся часть) представляет собой электромагнит либо неизменный магнит. На статоре (недвижной части) генератора размещены три однообразные обмотки, смещенные в пространстве друг относительно друга на 120°. При вращении ротора его магнитное поле меняет своё положение относительно обмоток и в них наводятся синусоидальные ЭДС. Частота и амплитуда ЭДС обмоток определяется частотой вращения ротора со, которая в промышленных генераторах поддерживается строго неизменной. Равенство ЭДС обмоток обеспечивается идентичностью их конструктивных характеристик, а фазовое смещение — смещением обмоток в пространстве.
Начала обмоток генератора обозначаются знаками латинского алфавита А, В, С, а их концы X, Y, Z. Последовательность, в какой фазные ЭДС проходят через однообразные состояния, к примеру, через нулевые значения, именуется порядком чередования фаз. В электрических сетях этот порядок жёстко соблюдается, т.к. его нарушение может привести к серьёзным экономическим последствиям и к опасности жизни и здоровью людей. В российскей литературе принято обозначать ЭДС источников индексами, надлежащими обозначению начал обмоток, т.е. А-В-С.
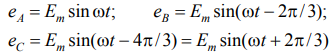
Пусть исходная фаза ЭДС равна нулю, тогда секундные значения ЭДС обмоток генератора равны:

либо в всеохватывающей форме:
На рис. 3.2 показаны графики моментальных значений и векторная диаграмма ЭДС. Вектор ориентирован по вещественной оси , вектор отстаёт от него по фазе на 120°, а вектор опережает на таковой же угол.
Главным свойством симметрии многофазных систем является равенство нулю суммы моментальных значений ЭДС, напряжений и токов, т.е.

В этом можно удостовериться, сложив всеохватывающие числа в выражениях (3.1). Обеспечение симметрии системы является нужным условием её действенной работы.
Связывание цепей трёхфазной системы

Если к каждой обмотке трёхфазного генератора подключить нагрузку, то три отдельные электрические цепи (рис. 3.3, а***) образуют трёхфазную несвязанную систему. Любая электрическая цепь, включающая источник ЭДС и нагрузку, именуется фазой**** трёхфазной цепи. Напряжения между началами и концами обмоток генератора и напряжения между началами (а, b, с) и концами (х, у, z) нагрузки именуются фазными напряжениями. Если сопротивлением соединительных проводов можно пренебречь, то , . Токи , протекающие в фазах именуются фазными токами.
В несвязанной трёхфазной системе источники электроэнергии и нагрузка соединены шестью проводами (рис. 3.3, а) и представляют собой три независящие электрические цепи. Разумеется, что такая система ничем не отличается от 3-х однофазовых цепей. Если обмотки генератора и фазовые нагрузки взаимосвязаны, появляется трехфазная цепь. На рис. 3.3, б показана трёхфазная цепь, в какой фазы генератора и нагрузка соединены звездой. Узлы соединений обмоток генератора и фаз нагрузки именуются нейтральными (нулевыми) точками либо нейтралями ( на 3.3, о), а провод, соединяющий эти точки -нейтральным (нулевым) проводом.
Проводники, соединяющие генератор и нагрузку, именуются линейными проводами, а напряжения между линейными проводами ( на рис. 3.3, б) линейными напряжениями.
В связанной системе генератор и нагрузка соединены только 4-мя проводами и такая система именуется четырёхпроводной. В некоторых случаях, как мы увидим дальше, число проводов может быть уменьшено до трёх. Уменьшение числа проводов значительно понижает цена и эксплуатационные расходы линий передачи и рассредотачивания электроэнергии.
Связать отдельные цепи можно также треугольником, но обмотки генераторов обычно соединяют звездой. В данном случае при помощи второго закона Кирхгофа можно установить соотношения между всеохватывающими фазными и линейными напряжениями генератора (рис. 3.3, б):

В симметричной трёхфазной системе фазные напряжения одинаковы
Подставляя всеохватывающие фазные напряжения в 1-ое уравнение (3.3), получим:

Это соотношение можно получить также геометрическими построениями в треугольнике векторов на рис. 3.4. Отсюда, с учётом равенства линейных напряжений:
На страничке -> решение задач по электротехнике собраны решения задач и заданий с решёнными примерами по всем темам теоретических основ электротехники (ТОЭ).
Услуги:
Присылайте задания в хоть какое время денька и ночи в ➔
Официальный веб-сайт Брильёновой Натальи Валерьевны педагога кафедры информатики и электроники Екатеринбургского муниципального института.
Все права автора на размещённые материалы сохранены за правообладателями этих материалов. Хоть какое коммерческое и/либо другое внедрение не считая подготовительного ознакомления материалов веб-сайта natalibrilenova.ru запрещено. Публикация и распространение размещённых материалов не преследует за собой коммерческой и/либо хоть какой другой выгоды.
Веб-сайт предназначен для облегчения образовательного путешествия студентам очникам и заочникам по вопросам обучения . Наталья Брильёнова не предлагает и не оказывает продукты и услуги.