Что наблюдалось в опыте Эрстеда? Взаимодействие 2-ух магнитных стрелок. Появление электрического тока в катушке при вдвигании в нее магнита. . Поворот магнитной стрелки поблизости проводника при пропускании через него тока.
Какое явление наблюдается в опыте?
В 1820 г. Эрстед в первый раз связал электричество и магнетизм. В его опытах наблюдалось взаимодействие тока и магнита, доказывающее существование магнитного поля вокруг проводника с током.
Что наблюдалось в опыте Эрстеда взаимодействие 2-ух параллельных проводников с током?
Опыт Эрстеда обосновывает, что вокруг проводника, по которому течёт электрический ток, существует магнитное поле, которое действует на магнитную стрелку. Опыт Эрстеда показал существование связи между электрическими и магнитными явлениями. Магнитное поле действует на перемещающиеся заряды.
Какое явление именуется в опыте Эрстеда?
Какое явление наблюдается в опыте Эрстеда? поворот магнитной стрелки поблизости проводника с током. Около проводника с током размещена магнитная стрелка.
Что отклоняет магнитную стрелку в опыте Эрстеда?
датский физик Ханс Кристиан Эрстед установил, что провод, по которому течёт электрический ток, отклоняет магнитную стрелку компаса (опыт Эрстеда).
Какое явление наблюдалось в опыте Ампера?
Если ток по проводникам движется в одном направлении, то то проводники притягиваются друг к другу. Если ток движется в обратных направлениях — то проводники отталкиваются.
Что существует около проводника с током?
1. Вокруг магнита, либо проводника, либо электрически заряженной перемещающейся частички существует магнитное поле. 2. Магнитное поле действует с некоторой силой на заряженную частичку, перемещающуюся в этом поле.
Какое физическое явление показывает опыт Эрстеда?
Опыт Эрстеда — традиционный опыт, проведённый в 1820 году Эрстедом и являющийся первым экспериментальным подтверждением воздействия электрического тока на магнит.
Какая существует связь между электрическими и магнитными полями?
Какая связь существует между электрическим током и магнитным полем? Вокруг любого проводника с током существует магнитное поле. Электрический ток и магнитное поле неотделимы друг от друга.
Чем разъясняется взаимодействие 2-ух параллельных проводников с током?
Взаимодействие 2-ух параллельных проводников с неизменным током разъясняется 1взаимодействием электрических зарядов 2действием магнитного поля 1-го проводника на ток в другом проводнике 3действием электрического поля 1-го проводника на магнитное поле в другом проводнике 4действием электрического поля 1-го .
Чем можно разъяснить притяжение 2-ух параллельных проводников с током?
Чем можно разъяснить притяжение 2-ух параллельных проводников с током? (полным ответом) Взаимодействие магнитных полей этих проводников, которые образуются за счет протекания в них тока. Притяжение же можно разъяснить тем, что направления токов в проводниках обратны.
Чем разъясняется поворот магнитной стрелки поблизости проводника с током?
Поворот магнитной стрелки поблизости проводника с током разъясняется тем, что на нее действует: магнитное поле, сделанное перемещающимися в проводнике зарядами; . электрическое поле, сделанное перемещающимися зарядами проводника.
Какое сходство можно отметить у катушки с током и магнитной стрелки?
Какое сходство имеется между катушкой с током и магнитной стрелкой? . Ну а вообщем и катушка и стрелка идентичны наличием магнитного поля. Просто в катушке это поле делает ток протекающий по её веткам, а в стрелке это поле создается электронами в атомах.
Почему магнитная стрелка поворачивается?
Магнитная стрелка поворачивается, если по проводнику начинает протекать эл. ток, т. к. вокруг проводника с током появляется магнитное поле.
В каком случае на проводник с током не будет действовать сила со стороны магнитного поля?
Сила Ампера равна нулю, если проводник с током размещен вдоль линий магнитной индукции, и максимальна, если проводник перпендикулярен этим линиям.
1.3. Опыт Эрстеда. Закон Ампера
Опыт Эрстеда — традиционный опыт, проведённый в 1820 году Эрстедом и являющийся первым экспериментальным подтверждением воздействия электрических токов на магниты.

Сущность опыта
Ганс Христиан Эрстед помещал над магнитной стрелкой прямолинейный железный проводник, направленный параллельно стрелке. При пропускании через проводник электрического тока стрелка поворачивалась практически перпендикулярно проводнику. При изменении направления тока стрелка разворачивалась на 180°. Аналогичный разворот наблюдался, если провод переносился на другую сторону, располагаясь не над, а под стрелкой.
Принято считать, что это открытие было совсем случаем: доктор Эрстед показывал студентам опыт по термическому воздействию электрического тока, при всем этом на экспериментальном столе находилась также и магнитная стрелка. Один из учащихся направил внимание доктора на то, что в момент замыкания электрической цепи стрелка незначительно отклонялась. Позже Эрстед повторил опыт с более сильными батареями, усилив тем эффект.
Закон Ампера — закон взаимодействия электрических токов. В первый раз был установлен Андре Мари Ампером в 1820 году для неизменного тока. Из закона Ампера следует, что параллельные проводники с электрическими токами, текущими в одном направлении, притягиваются, а в обратных — отталкиваются. Законом Ампера именуется также закон, определяющий силу, с которой магнитное поле действует на малый отрезок проводника с током. Выражение для силы , с которой магнитное поле действует на элемент объёма проводника с током плотности , находящегося в магнитном поле с индукцией .

Сила , с которой магнитное поле действует на элемент проводника с током, находящегося в магнитном поле, прямо пропорциональна силе тока в проводнике и векторному произведению элемента длины проводника на магнитную индукцию :
На проводник с током, находящийся в магнитном поле, действует сила, равная
F = I·L·B·sin a
I — сила тока в проводнике; B — модуль вектора индукции магнитного поля; L — длина проводника, находящегося в магнитном поле; a — угол между вектором магнитного поля инаправлением тока в проводнике.
Силу, действующую на проводник с током в магнитном поле, именуют силой Ампера.
Наибольшая сила Ампера равна:
F = I·L·B
Ей соответствует a = 90 0 .

Направление силы Ампера определяется по правилу левой руки: если левую руку расположить так, дабы перпендикулярная составляющая вектора магнитной индукции В заходила в ладонь, а четыре вытянутых пальца были ориентированы по направлению тока, то отогнутый на 90 градусов большой палец покажет направление силы, действующей на отрезок проводника с током, другими словами силы Ампера.
1.4. Закон взаимодействия наэлектризованных тел
Прошло более 2-ух 1000-летий, до того как началось систематическое исследование электричества и был открыт закон взаимодействия наэлектризованных тел. В протяжении многих веков никаких суровых попыток научного разъяснения опытов с наэлектризованными телами практически не было предпринято.
Опытами с наэлектризованными телами больше забавлялись. При этом забавлялись ими безбедные люди, не имевшие никакого дела к науке. При дворах европейских государей устраивались «электрические сеансы». В особенности увлекалась этим Екатерина II. Были построены электрические машины. Научились получать огромные электрические искры. Все же, эти развлекательные опыты послужили развитию энтузиазма, любопытства и содействовали развитию науки об электричестве.
До середины XVIII в. успехи в исследовании электричества были невелики: было найдено электричество 2-ух родов — положительное и отрицательное, открыта возможность передачи и скопления электричества, верно истолкована молния. Начальные познания по электричеству отыскали свое использование: Франклином был придуман молниеотвод.
Познания обэлектричестве скапливались, и к середине XVIII в. появилась необходимость в количественном определении электрической силы, которая действует между недвижными наэлектризованными телами. Высказывались догадки, что закон взаимодействия зарядов аналогичен закону глобального тяготения. Первым обосновал это британец Генри Кавендиш приблизительно в 1774 г.
Но этот выдающийся ученый отличался также выдающимися странностями. Преданность его науке была просто фанатической. Так, для сбережения времени он разъяснялся с домашними раз и навечно установленными знаками. Собственных работ по электричеству Кавендиш не печатал. Более 100 лет пролежали его рукописи в библиотеке Кембриджского института, пока их не извлек Дж. Максвелл (1831-1879 гг.) и не опубликовал в 1879 г. К этому времени закон взаимодействия зарядов был уже установлен во Франции ученым и инженером Шарлем Огюстеном Кулоном (1736-1806 гг.) и с того времени носит его имя. Закон Кулона — это экспериментальный закон.
Сила взаимодействия измерялась по закручиванию проволочки, и исследовалась зависимость силы от расстояния и величины зарядов. Определять силу и расстояние в те времена умели. Единственная трудность была с зарядом. Кулон поступил просто и остроумно. Он менял величину заряда 1-го из шариков в 2,4 и т.д раз, соединяя его с таким же незаряженным шариком. Заряд при всем этом распределялся поровну между шариками, что и уменьшало величину исследуемого заряда в известном отношении. Сразу наблюдалось, как изменяется сила.
Благодаря опытам Кулон в 1785 году открыл Закон, который определяет силу, с которой ведут взаимодействие недвижные заряженные тела.
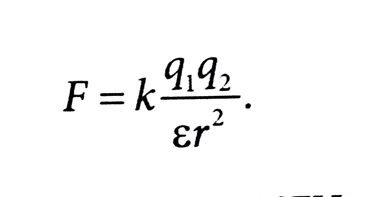
Закон, который определяет силу, с которой ведут взаимодействие недвижные заряженные тела. Сила взаимодействия 2-ух недвижных заряженных тел в вакууме прямо пропорциональна произведению этих зарядов и назад пропорциональна квадрату расстояния между ними.
где q1 и q2 — заряды взаимодействующих тел;
r — расстояние между взаимодействующими телами.
«K» — коэффициент пропорциональности. Его числовое
значение было определено экспериментально:
к = 9 • 10 9 Н • м 2 /Кл 2 .
Закон справедлив только для точечных зарядов, т.е. зарядов, геометрические размеры которых малы по сопоставлению с расстоянием между зарядами.
Закон Кулона в первый раз дозволил рассматривать заряд как определенное количество, другими словами определять его и выражать числом.
Электрические либо кулоновские силы, возникающие при содействии недвижных заряженных тел либо частиц, владеют вблизи особенностей.
Кулоновские силы:
1. Дальнодействующие и медлительно убывают с повышением расстояния.
2. Не действуют между электрически нейтральными частичками и телами, потому их нельзя именовать универсальными. Они универсальны только в том, что закон Кулона можно использовать для определения силы взаимодействия как заряженных макроскопических тел, так и простых частиц, владеющих электрическим зарядом.
3. Направление кулоновских сил определяется в согласовании с правилом:
! Силы взаимодействия между зарядами равны по модулю и ориентированы обратно друг дружке вдоль прямой, соединяющей эти заряды.

На рисунке 3 показаны как ориентированы силы взаимодействия между 2-мя заряженными шариками в случаях: когда заряды одинаковы (рис. За) и когда их заряды обратны (рис. 36):
Рис. 3
. На числовое значениекулоновской силы оказывает влияние среда, в какой происходит взаимодействие. Всякая среда характеризуется диэлектрической проницаемостью £.
! Диэлектрическая проницаемость указывает, во сколько раз сила взаимодействия между зарядами в данной среде меньше, чем в вакууме


Беря во внимание это, закон Кулона для хоть какой среды может быть записан в следующем виде:
Диэлектрическая проницаемость среды — величина безразмерная, её значение для разных сред можно отыскать в особых таблицах физических справочников.
К примеру, диэлектрическая проницаемость для дистиллированной воды 81; для парафина 2,1; для масла 2,5; для керосина 2,1; для слюды 6; для стекла 7 и т. д. Диэлектрическая проницаемость вакуума равна 1.
Здесь вы сможете бросить комментарий к избранному абзацу либо сказать об ошибке.
Опыты по электромагнетизму
ГОСТ
Многие принципиальные законы электродинамики установлены экспериментально. Разглядим некоторые из них.
Опыты Эрстеда
Опыты Эрстеда проявили, что электрический ток делает магнитное поле. В 1820 году датский ученый проводил опыты, размещая магнитную стрелку параллельно проводу с током.
При следовании тока через проводник стрелка поворачивалась.
Данное открытие случайным не назовешь. Еще в самом начале века Эрстед задался целью изучить вопрос: оказывает ли электрический ток действие на магнит.
Позже М. Фарадей писал об Эрстеде: «Настойчивость, с которой он стремился к совей цели, была вознаграждена открытием нового факта, о наличии которого никто, не считая него, даже отдаленно не мог полагать. ».
В опытах Эрстеда проявилось родство между магнетизмом и электричеством. Стало естественным:
- что на недвижные электрические заряды магнитная стрелка не реагирует;
- перемещающиеся заряды (электрический ток) в состоянии повлиять на магнитную стрелку.
Принципиальным выводом из опытов Эрстеда стало то, что магнетизм связан не со статическими электрическими полями, а с электрическим током.
Опыты Эрстеда дозволили отыскать новый тип взаимодействия электрических зарядов.
Опыты Ампера
В том же году, что и Эрстед, французский физик и математик А. М. Ампер установил, что два параллельных проводника с токами, ведут взаимодействие (притягиваются либо отталкиваются).
Явление взаимодействия электрических токов было названо Ампером электродинамическим взаимодействием.
Основываясь на собственных опытах, А. Ампер пришел к выводу о том, что воздействие тока на магнит и магнитов вместе разъясняется, если допустить, что снутри магнита повсевременно циркулируют молекулярные радиальные токи. При всем этом все явления в магнетизме можно разъяснить взаимодействием перемещающихся зарядов, и никаких особых магнитных зарядов в природе не существует.
Готовые работы на аналогичную тему
Получить выполненную работу либо консультацию спеца по вашему учебному проекту Выяснить цена
В согласовании с теорией близкодействия каждый перемещающийся электрический заряд порождает вокруг себя магнитное поле. Это магнитное поле является непрерывным в пространстве, и оно оказывает действие на другие перемещающиеся электрические заряды.
Силы, возникающие при действии магнитного поля на проводник с током, окрестили силами Ампера. Величина наибольшей силы Ампера, действующей на прямой проводник с током равна:
где $I$ -сила тока в проводнике; $ B$ — величина магнитной индукции однородного поля; $l$ — длина проводника.
Существованием сил Ампера разъясняется ориентирующее действие магнитного поля при внесении в него рамки с током.
Опыт по обнаружению силовых линий магнитного поля
Магнитные поля можно охарактеризовывать с помощью вектора индукции магнитного поля ($\vec B$). Для визуализации картины, описывающей поля применяют понятие силовых линий.
Силовыми линиями магнитного поля (линиями магнитной индукции) именуют кривые, в каждой точке к которым, вектор $\vec B$ является касательной.
Картину силовых линий магнитного поля можно показать на ординарном опыте.
- Прямой проводник с током пропустить через отверстие, к примеру, в картоне.
- Вокруг проводника на картоне насыпать стальные опилки.
- Пропустить по проводнику ток.
- Опилки выстроятся по силовым линиям магнитного поля, образовав концентрические окружности, с центром на оси провода.
Меняя форму проводника, можно узреть, что картина «нарисованная» стальными опилками будет другая.
Опыты М. Фарадея
Если перемещающиеся электрические заряды делают магнитное поле, то необходимо получить ответ на следующий вопрос: «Не может ли магнитное поле порождать электрический ток?». Этот вопрос занимал физиков знакомых с тестами Эрстеда прямо до 1831 года. В этот год М. Фарадей сделал свое базовое открытие. Он нашел явление электромагнитной индукции.
Причина того, что данный вопрос длительно не могли решить: трудно было узреть, что только переменное магнитное поле способно возбуждать электрический ток.
Фарадей провел следующий опыт. На широкую катушку из дерева он намотал две проволоки (витки одной были размещены между витками другой). Витки проволок были изолированы друг от друга. Одну спираль ученый соединил с гальванометром, другую с источником тока. Замыкая цепь, он увидел, что в этот момент через гальванометр проходил ток.
Подобная ситуация появлялась при размыкании исследуемой цепи. При неизменном течении тока никаких индукционных токов через гальванометр найдено не было.
Так, сначала была открыта индукция при размыкании и замыкании цепи в недвижных (по отношению друг к другу) проводниках.
Дальше, Фарадей экспериментально показал, что ток индукции возникает при перемещении катушек относительно друг дружку. Ученому были известны работы Ампера, и он представлял магнит, как систему молекулярных микротоков.
17 октября 1831 года в собственном лабораторном журнальчике Фарадей сделал запись о том, что им был найден ток индукции в катушке, когда он вдвигал (выдвигал) в нее неизменный магнит. В месяц ученый выявил практически все важные свойства явления электромагнитной индукции.
И так, в замкнутом проводящем контуре возникает индукционный ток если:
- контур неподвижен (либо движется) в изменяющемся магнитном поле;
- контур перемещается в неизменном магнитном поле;
самое главное, дабы количество силовых линий магнитного поля, которые пронизывает, рассматриваемый контур изменялось.
Возникновение тока индукции значит, появляется электродвижущая сила (ЭДС), нареченная ЭДС индукции.
В математическом виде закон, описывающий электромагнитную индукцию, представляют в виде:
где $Ɛ_i$ — электродвижущая сила индукции; $Ф$ — магнитный поток (поток магнитной индукции)
Генератор Фарадея
На базе собственного открытия электромагнитной индукции ученый сделал первую модель генератора электрического тока, который преобразовывал энергию механического вращения в электричество.
Основными элементами данного генератора стали:
- Медный диск большой массы.
- Сильный магнит.
Диск совершал вращения между полюсами магнита. Ось и край диска Фарадей соединил с гальванометром. Приводя диск во вращение, он увидел, что стрелка гальванометра отклоняется.
Индукционный ток выходил очень слабеньким, но предложенный принцип в предстоящем был положен в базу сотворения массивных генераторов.